You are attempting to access a website operated by an entity not regulated in the EU. Products and services on this website do not comply with EU laws or ESMA investor-protection standards.
As an EU resident, you cannot proceed to the offshore website.
Please continue on the EU-regulated website to ensure full regulatory protection.
الاثنين Jan 26 2026 10:13
13 دقيقة

مؤشر المتوسط المتحرك: يُعد المتوسط المتحرك واحدًا من أكثر أدوات التحليل الفني استخدامًا في التداول والاستثمار.
البدء في الاستثمار في 2026: يساعد المتداولين على تحديد الاتجاهات والانعكاسات المحتملة عن طريق تسوية بيانات الأسعار على فترة زمنية محددة. ستتناول هذه المقالة أنواع المتوسطات المتحركة المختلفة، واستخداماتها، ومزاياها وعيوبها، وأفضل المؤشرات المستخدمة بالاقتران مع المتوسطات المتحركة.
1.1 ما هو المتوسط المتحرك؟
المتوسط المتحرك هو حساب إحصائي يقوم بتحليل نقاط البيانات من خلال إنشاء متوسطات من مجموعات فرعية مختلفة من مجموعة البيانات الكاملة. في سياق الأسواق المالية، يمثل المتوسط المتحرك متوسط سعر الأصل خلال عدد محدد من الفترات، مما يوفر رؤى حول الاتجاهات وحركات الأسعار المحتملة.
1.2 لماذا نستخدم المتوسطات المتحركة؟
تخدم المتوسطات المتحركة عدة أغراض مهمة في التحليل الفني:
(1) تحديد الاتجاه
أحد الاستخدامات الأساسية للمتوسطات المتحركة هو تحديد الاتجاه السائد في سعر الأصل. يحسب المتوسط المتحرك متوسط السعر على فترة محددة، ومن خلال رسمه على مخطط السعر، يمكن للمراقبين بسهولة معرفة ما إذا كان الأصل في اتجاه صعودي، أو هبوطي، أو حركة جانبية. على سبيل المثال، إذا كان السعر دائمًا فوق المتوسط المتحرك، فهذا يشير إلى اتجاه صعودي، بينما تشير الأسعار أدناه إلى اتجاه هبوطي.

(2) تسوية بيانات الأسعار
يمكن أن تكون الأسواق المالية متقلبة، حيث تظهر تغييرات سريعة في الأسعار خلال فترات قصيرة. تساعد المتوسطات المتحركة على تسوية هذه التقلبات عن طريق تصفية الضوضاء في البيانات. يتيح هذا التأثير للمتداولين التركيز على الاتجاه العام بدلاً من الانشغال بتقلبات الأسعار اليومية. على سبيل المثال، سيقدم المتوسط المتحرك لفترة 50 يومًا صورة أوضح لأداء الأصل مع مرور الوقت مقارنة بما قد تكشفه مخططات الأسعار اليومية.
فيما يلي مثال واقعي موجز يوضح كيف تساعد المتوسطات المتحركة في تسوية بيانات الأسعار، باستخدام أسعار الإغلاق اليومية التقريبية لبيتكوين (BTC-USD) في أوائل يناير 2026 (استنادًا إلى مستويات السوق حول 92,000–96,000 دولار أمريكي منتصف يناير 2026).


(3) مستويات الدعم والمقاومة
غالبًا ما تعمل المتوسطات المتحركة كمستويات دعم ومقاومة ديناميكية. يراقب المتداولون عادةً ارتداد السعر عن المتوسط المتحرك، مما يشير إلى فرصة شراء أو بيع محتملة.
يمكن للمتوسط المتحرك أن يوفر مستوى يكون فيه المشترون أكثر احتمالًا لدخول السوق (الدعم) أو قد يقرر البائعون البيع عنده (المقاومة). على سبيل المثال، في سوق صاعد، قد يعمل المتوسط المتحرك المتراجع كمستوى دعم يرتد عنه السعر، مما يعزز قرار الشراء.

(4) توليد الإشارات
يمكن للمتوسطات المتحركة توليد إشارات تداول عند تقاطع المتوسطات المختلفة مع بعضها. من أكثر الاستراتيجيات شيوعًا هي تقنية "التقاطع"، حيث يتقاطع المتوسط المتحرك قصير المدى فوق المتوسط المتحرك طويل المدى (إشارة صعودية) أو تحته (إشارة هبوطية).

على سبيل المثال، يحدث التقاطع الذهبي عندما يتقاطع المتوسط المتحرك لفترة 50 يومًا فوق المتوسط المتحرك لفترة 200 يوم، مشيرًا إلى احتمال ارتفاع السعر. وعلى العكس، يُلاحظ التقاطع القاتل عندما يتحرك المتوسط قصير المدى تحت المتوسط طويل المدى، مما يدل على احتمال انخفاض السعر.
(5) الحد من القرارات العاطفية
يمكن أن يثير التداول مشاعر قوية، مما يؤدي غالبًا إلى اتخاذ قرارات متهورة بناءً على الخوف أو الطمع. تساعد المتوسطات المتحركة في الحد من هذا الجانب العاطفي من خلال توفير نهج منهجي لاتخاذ القرارات استنادًا إلى بيانات الأسعار التاريخية. بالاعتماد على الإشارات الملموسة التي تولدها المتوسطات المتحركة، يمكن للمتداولين تطوير استراتيجية تداول أكثر انضباطًا.

(6) التخصيص والمرونة
يمكن للمتداولين تخصيص المتوسطات المتحركة لتتناسب مع استراتيجياتهم. يمكن استخدام أطر زمنية مختلفة—مثل المدى القصير (مثل 10 أيام، 20 يومًا) أو المدى الطويل (مثل 100 يوم، 200 يوم)—اعتمادًا على أسلوب التداول الفردي. على سبيل المثال، قد تستفيد المتوسطات المتحركة قصيرة المدى للمتداولين اليوميين الباحثين عن أرباح سريعة، بينما قد تناسب المتوسطات الطويلة الأجل المستثمرين الذين يتبعون استراتيجية الشراء والاحتفاظ.

(7) التكامل مع مؤشرات أخرى
يمكن أيضًا دمج المتوسطات المتحركة بفعالية مع مؤشرات فنية أخرى لتعزيز التحليل. على سبيل المثال، يمكن أن يوفر الجمع بين المتوسطات المتحركة ومؤشرات الزخم، مثل مؤشر القوة النسبية (RSI)، رؤية أكثر شمولية لظروف السوق وتحسين قرارات التداول.

1.3 أنواع المتوسطات المتحركة
هناك ثلاثة أنواع رئيسية من المتوسطات المتحركة:
لكل نوع خصائصه الفريدة وتطبيقاته الخاصة.
2. المتوسط المتحرك البسيط (SMA)
2.1 التعريف
يقوم المتوسط المتحرك البسيط (SMA) بحساب المتوسط الحسابي لعدد محدد من نقاط السعر خلال فترة زمنية معينة. على سبيل المثال، يحسب متوسط SMA لفترة 10 أيام أسعار الإغلاق للآخر عشرة أيام.
2.2 طريقة الحساب

2.3 مزايا المتوسط المتحرك البسيط (SMA)
2.4 عيوب المتوسط المتحرك البسيط (SMA)
3. المتوسط المتحرك الأسي (EMA)
3.1 التعريف
يعطي المتوسط المتحرك الأسي (EMA) وزنًا أكبر للأسعار الأخيرة، مما يجعله أكثر استجابة للمعلومات الجديدة مقارنة بالمتوسط المتحرك البسيط (SMA).


3.3 مزايا المتوسط المتحرك الأسي (EMA)
3.4 عيوب المتوسط المتحرك الأسي (EMA)
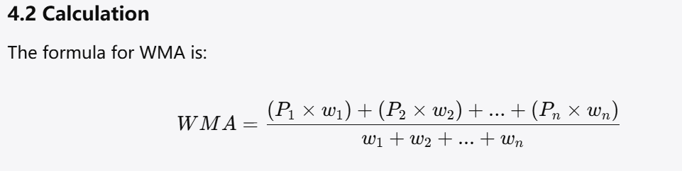
4. المتوسط المتحرك المرجح (WMA)
4.1 التعريف
يعطي المتوسط المتحرك المرجح (WMA) أوزانًا مختلفة لنقاط الأسعار، مع التركيز على البيانات الأخيرة أكثر من البيانات القديمة.


4.3 مزايا المتوسط المتحرك المرجح (WMA)
4.4 عيوب المتوسط المتحرك المرجح (WMA)
5. أفضل المؤشرات المستخدمة مع المتوسطات المتحركة

عند استخدام المتوسطات المتحركة، غالبًا ما يقوم المتداولون بدمجها مع مؤشرات فنية أخرى لتعزيز اتخاذ القرار. فيما يلي بعض أفضل المؤشرات التي يمكن استخدامها مع المتوسطات المتحركة:
5.1 مؤشر القوة النسبية (RSI)
نظرة عامة:
يقيس مؤشر القوة النسبية (RSI) سرعة وتغير حركة الأسعار، ويتراوح بين 0 و100، ويُستخدم عادةً لتحديد حالات التشبع الشرائي أو البيعي للأصل.
أفضل الممارسات:
5.2 مؤشر تقارب وتباعد المتوسط المتحرك (MACD)
نظرة عامة:
MACD هو مؤشر زخم يتبع الاتجاه ويظهر العلاقة بين متوسطين أسيين (EMA)، عادةً EMA لفترة 12 و EMA لفترة 26، ويشمل خط إشارة وهو عادةً EMA لفترة 9 لخط MACD.
أفضل الممارسات:
5.3 نطاقات بولينجر (Bollinger Bands)
نظرة عامة:
تتكون نطاقات بولينجر من شريط وسطي (عادةً SMA) وشريطين خارجيين يمثلان الانحراف المعياري عن الشريط الوسيط، وتُستخدم لتقييم التقلبات ومستويات الأسعار.
أفضل الممارسات:
5.4 مؤشّر الستوكاستيك (Stochastic Oscillator)
نظرة عامة:
يقارن مؤشر الستوكاستيك سعر إغلاق الأصل مع نطاق أسعاره خلال فترة محددة. هذا المؤشر الزخمي يتراوح بين 0 و100 ويساعد على تحديد حالات التشبع الشرائي أو البيعي.
أفضل الممارسات:
6. استخدام المتوسطات المتحركة في ظروف السوق المختلفة

6.1 الأسواق الصاعدة (Bull Markets)
في الأسواق الصاعدة، تساعد المتوسطات المتحركة على تحديد الاتجاهات الصاعدة. يمكن للمتداولين اختيار:
6.2 الأسواق الهابطة (Bear Markets)
في الأسواق الهابطة، تساعد المتوسطات المتحركة على تحديد الاتجاهات الهابطة ونقاط الانعكاس المحتملة:
6.3 الأسواق الجانبية (Sideways Markets)
في الأسواق الجانبية أو المتراجعة، تساعد المتوسطات المتحركة على تحديد الانفجارات المحتملة:
7. التطبيقات العملية للمتوسطات المتحركة
7.1 اختيار الإطار الزمني (Time Frame Selection)
تختلف فعالية المتوسطات المتحركة حسب الإطار الزمني المستخدم. الأطر الزمنية القصيرة (يومي أو أسبوعي) توفر استجابة أسرع لكنها قد تولد مزيدًا من الضوضاء. في المقابل، الأطر الزمنية الطويلة (شهري) توفر إشارات أوضح للاتجاه لكنها قد تتأخر في الاستجابة. يجب على المتداولين اختيار الإطار الزمني الذي يتوافق مع استراتيجيتهم:
7.2 دمج عدة متوسطات متحركة (Combining Multiple Moving Averages)
استخدام متوسطات متعددة يمكن أن يساعد المتداولين على فهم زخم السوق وتحديد قوة الاتجاهات:
7.3 تطوير استراتيجية تداول (Developing a Trading Strategy)
دمج المتوسطات المتحركة في استراتيجية التداول يتطلب النظر بعناية لإشارات الدخول والخروج:

8. الأخطاء الشائعة التي يجب تجنبها
عند استخدام المتوسطات المتحركة، يجب على المتداولين الانتباه إلى الأخطاء الشائعة التالية:
8.1 تجاهل سياق السوق (Ignoring Market Context)
المتوسطات المتحركة هي أداة واحدة فقط ضمن صندوق أدوات المتداول. تجاهل السياق العام للسوق، الأخبار، والمؤشرات الاقتصادية يمكن أن يؤدي إلى اتخاذ قرارات سيئة.
8.2 الاعتماد المفرط على الإشارات (Over-Reliance on Signals)
بينما توفر المتوسطات المتحركة رؤى قيمة، الاعتماد عليها وحدها دون التأكيد بمؤشرات أخرى قد يؤدي إلى فقدان الفرص أو تكبد خسائر.
8.3 إهمال إدارة الصفقات (Neglecting Trade Management)
عدم تطبيق استراتيجيات إدارة المخاطر بشكل صحيح عند التداول باستخدام المتوسطات المتحركة يمكن أن يؤدي إلى خسائر كبيرة. استخدم دائمًا أوامر وقف الخسارة واستراتيجيات تحديد حجم الصفقات.
9. الخلاصة (Conclusion)
تعد المتوسطات المتحركة أداة قوية في التحليل الفني، حيث توفر للمتداولين رؤى حول اتجاهات الأسعار، الانعكاسات المحتملة، وزخم السوق. يعتمد اختيار نوع المتوسط المتحرك الصحيح وطريقة استخدامه بشكل كبير على استراتيجيات التداول الفردية وظروف السوق.
من خلال دمج المتوسطات المتحركة مع مؤشرات مكملة مثل RSI وMACD وBollinger Bands، يمكن للمتداولين تعزيز تحليلاتهم وعمليات اتخاذ القرار. كما هو الحال مع أي أداة تداول، فهم التفاصيل الدقيقة والمخاطر المرتبطة بالمتوسطات المتحركة أمر بالغ الأهمية لتطبيق فعال. من خلال الاجتهاد، والصبر، واتباع نهج منظم، يمكن للمتداولين استخدام المتوسطات المتحركة لتحسين أدائهم في التداول وتحقيق أهدافهم الاستثمارية.

هل تبحث عن تداول عقود الفروقات (CFDs)؟ اختر Markets.com للحصول على منصة سهلة الاستخدام، فروق أسعار تنافسية، ومجموعة واسعة من الأصول. تحكّم في رحلة تداولك اليوم! قم بالتسجيل الآن وافتح الوصول إلى الأدوات والموارد التي تحتاجها للنجاح في عالم عقود الفروقات المثير. ابدأ التداول!
تحذير المخاطر: يتم توفير هذا المقال لأغراض معلوماتية فقط، ولا يشكل نصيحة استثمارية، أو بحثاً استثمارياً، أو توصية للتداول. إن الآراء الواردة في هذا المقال تعبر عن وجهة نظر مؤلفها ولا تعكس بالضرورة موقف لمنصة Markets.com. عند النظر في تداول الأسهم، والمؤشرات، والفوركس (النقد الأجنبي)، والسلع، وتوقعات الأسعار الخاصة بها، تذكر أن تداول العقود مقابل الفروقات (CFDs) ينطوي على درجة كبيرة من المخاطر وقد لا يكون مناسباً لجميع المستثمرين. يمكن أن تؤدي المنتجات ذات الرافعة المالية إلى خسارة رأس المال. كما أن الأداء السابق ليس مؤشراً على النتائج المستقبلية. قبل البدء في التداول، يرجى التأكد من فهمك الكامل للمخاطر التي تنطوي عليها العملية، وخذ في الاعتبار أهدافك الاستثمارية ومستوى خبرتك. قد يتم تطبيق قيود على تداول العقود مقابل الفروقات على العملات الرقمية اعتماداً على النطاق القضائي.